この情報は教育目的のみに提供されています。医学的助言を意図するものではありません。必ず資格を有する医療専門家にご相談ください。
Inhalatiepoeder in harde capsule
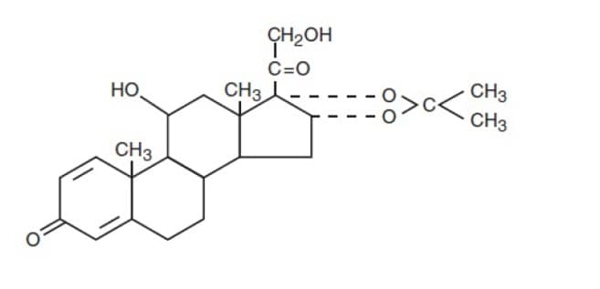
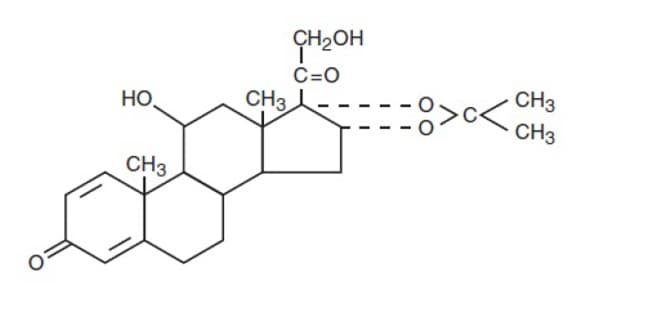
INN: BUDESONIDE#SALMETEROLXINAFOAAT
Reviews reflect personal experiences and are not medical advice. Always consult your doctor.
Reference images only. Packaging and labels vary by country and batch. Always consult the leaflet supplied with your product.